जिहाद चार्ट मामलाः जी न्यूज के संपादक सुधीर चौधरी के ख़िलाफ़ एफआईआर दर्ज
जी न्यूज के संपादक सुधीर चौधरी ने बीते 11 मार्च को अपने टीवी शो डीएनए में जिहाद पर बात करते हुए एक चार्ट दिखाया था, जिसमें कई तरह के जिहाद पर चर्चा की गई थी. केरल के एक वकील ने इस्लाम का अपमान करने का आरोप लगाते हुए उनके खिलाफ एफआईआर दर्ज कराई है.
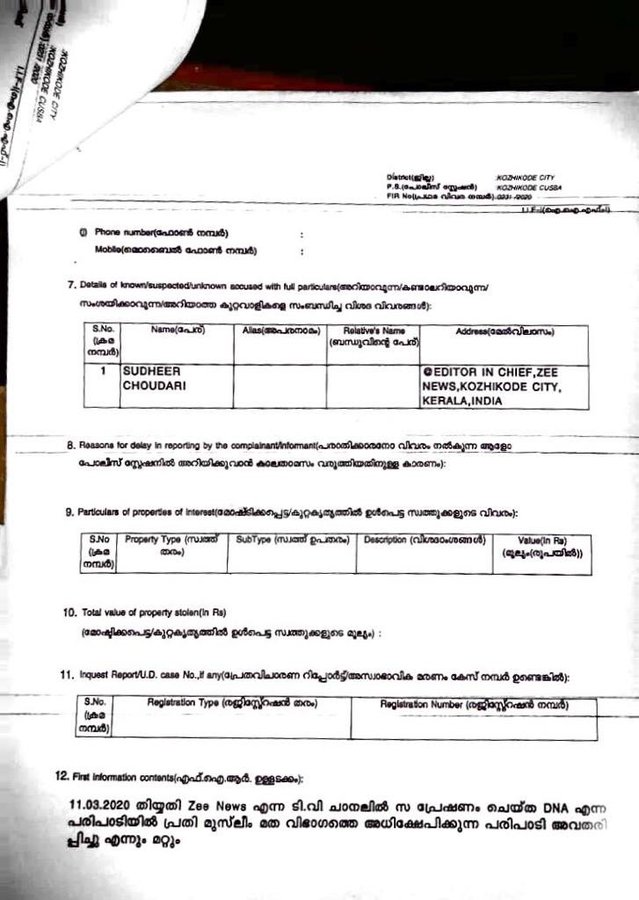
नई दिल्लीः केरल पुलिस ने हिंदी समाचार चैनल जी न्यूज के एडिटर इन चीफ सुधीर चौधरी के खिलाफ एफआईआर दर्ज की है.
चौधरी पर आरोप है कि उन्होंने अपने टीवी शो डेली न्यूज एनालिसिस (डीएनए) में सांप्रदायिक ध्रुवीकरण करने की कोशिश की और इस्लाम का अपमान किया है.
यह एफआईआर केरल के वकील पी. गावस की शिकायत पर दर्ज की गई है. गावस भारतीय कम्युनिस्ट पार्टी (सीपीआई) संबंद्ध ऑल इंडिया यूथ फेडरेशन के राज्य सचिव भी हैं.
सुधीर चौधरी पर आईपीसी की धारा 295ए के तहत एफआईआर दर्ज की गई है.
चौधरी पर आरोप है कि उन्होंने 11 मार्च 2020 को अपने शो डीएनए में ‘जमीन जिहाद’ सेगमेंट के तहत एक चार्ट दिखाकर कई तरह के जिहाद के बारे में चर्चा कर उसका विश्लेषण किया था.
सुधीर चौधरी ने अपने शो के लिए यह चार्ट पांच साल पुराने एक फेसबुक पोस्ट से लिया है.
इस चार्ट को ‘बायकॉट हलाल इन इंडिया‘ नाम के एक फेसबुक पेज से लिया गया है, जहां यह चार्ट अंग्रेजी में उपलब्ध है लेकिन चौधरी ने अपने शो के लिए इसे हिंदी में अनुवादित कर इस्तेमाल किया.
गावस ने 18 मार्च को पुलिस में शिकायत दर्ज कराई जिसमें उन्होंने कहा कि चौधरी ने अपने शो के जरिए मुस्लिम संप्रदाय को निशाना बनाया. उनका उद्देश्य सांप्रदायिक नफरत फैलाना है.
इस एफआईआर की एक कॉपी द वायर के पास है, जिसमें कहा गया है कि यह टीवी शो संविधान के अनुच्छेद 19(2) में अभिव्यक्ति की आजादी का उल्लंघन है और यह आईपीसी की धारा 153ए, 153बी, 295ए, 502 और 503 और आईटी एक्ट की धारा 66ए के तहत दंडनीय अपराध है. शिकायतकर्ता ने कहा है कि यह टीवी कार्यक्रम 2018 के केबल टीवी रेगुलेशऩ एक्ट का भी उल्लंघन करता है.
सुधीर चौधरी ने अपने टीवी शो में टीवी स्क्रीन पर एक जिहाद चार्ट दिखाया. उन्होंने यह तो नहीं बताया कि यह जिहाद चार्ट किसने तैयार किया है.
चौधरी ने शो में बताया कि जिहाद दो तरह के होते हैं कट्टर और वैचारिक जिहाद.
वैचारिक जिहाद में आर्थिक जिहाद, ऐतिहासिक जिहाद, मीडिया जिहाद, फिल्म और संगीत जिहाद और धर्मनिरपेक्षता का जिहाद है, जबकि कट्टर जिहाद में जनसंख्या जिहाद, लव जिहाद, जमीन जिहाद, शिक्षा जिहाद, पीड़ित जिहाद और सीधा जिहाद है.
शिकायतकर्ता गावस ने अपनी शिकायत में न सिर्फ चौधरी के खिलाफ कार्रवाई करने को कहा है बल्कि जी न्यूज के सस्पेंशन की भी मांग की है.
गावस ने द वायर को बताया, ‘उन्होंने (सुधीर) जो शो होस्ट किया, वह इस देश के कानून और संवैधानिक मूल्यों का उल्लंघन है. पत्रकारिता की आड़ में वह मुस्लिमों के खिलाफ जहर उगल रहे थे. जिस चार्ट को उन्होंने दिखाया, वह सिर्फ प्रोपेगैंडा था जिसमें आधारहीन आरोप लगाए गए थे.’
उन्होंने कहा कि वह चैनल के खिलाफ सूचना एवं प्रसारण मंत्रालय में भी शिकायत करने की सोच रहे हैं.
केरल पुलिस के इंस्पेक्टर बीनू थॉम्स ने कहा, ‘हमने इस शिकायत के आधार पर मामला दर्ज किया है. जांच जारी है. जांच के आधार पर जरूरत पड़ने पर हम और धाराएं लगाएंगे.’
Here’s my Pulitzer Prize for reporting the truth.Sharing the citation— an FIR filed against me by the Kerala police under nonbailable sections.The award for exposing inconvenient facts.A clear msg for media.If u don’t toe the decades old pseudo-secular line you’ll be behind bars.
17.7K people are talking about this
इस बीच सुधीर चौधरी ने एफआईआर की कॉपी ट्वीट कर इसे सच दिखाने के लिए केरल पुलिस की ओर से पुलित्जर सम्मान बताया.
चौधरी ने ट्वीट कर कहा, ‘असुविधाजनक तथ्यों का सामने रखने के लिए अवॉर्ड. मीडिया को एक साफ संदेश. अगर आप दशकों पुरी धर्मनिरपेक्षता की रेखा से आगे नहीं बढ़ते हैं तो आपको जेल में डाल दिया जाएगा.’
मालूम हो कि इससे पहले हिंदूवादी संगठनों ने लव जिहाद शब्दावली गढ़ी थी, जिसके तहत हिंदूवादी संगठनों ने यह प्रचार किया था कि मुस्लिम पुरुष देशभर में इस्लाम के प्रचार के लिए हिंदू लड़कियों को बहला-फुसलाकर उनसे शादी कर इस्लाम कबूल करवाते हैं. इसी कड़ी में एक और शब्द गढ़ा गया कोरोना जिहाद.
पिछले महीने सुधीर चौधरी ने अपने टीवी शो में कोरोना जिहाद पर चर्चा करते हुए कहा था कि एक विशेष संप्रदाय जानबूझकर इसे देश में फैला रहा है.


'Irrfan Khan ने मुंबई के हॉस्पिटल में तोड़ा दम, पूरे फिल्म जगत में छाई शोक की लहर
घर में हैं कोरोना मरीज तो इन 7 तरीकों से रखें उनका ख्याल corona safety tips
इस चीज से ज्यादा देर नहीं लड़ पाता कोरोना, हर वक्त रखें अपने साथ corona safety tips
जानिए Lockdown के दौरान क्या कर रहे हैं आपके पसंदीदा सितारे
Railway के 64 हजार पदों के लिए परीक्षा दी है तो फिर आ गई बड़ी खुशखबरी
No comments: